Sửa trang

Công Thức Khai Triển Nhị Thức Newton- Ví Dụ Minh Họa

Nhị thức Newton là một trong những khái niệm quan trọng trong toán học, đặc biệt là trong đại số và lý thuyết xác suất. Được đặt theo tên của nhà toán học vĩ đại Isaac Newton, nhị thức Newton mô tả cách khai triển lũy thừa của một nhị thức, tức là biểu thức có dạng (a+b)ⁿ

Nhị thức newton là gì?

Nhị thức Newton là một công thức trong toán học dùng để khai triển một biểu thức có dạng (a+b)ⁿ với n là số nguyên không âm. Công thức này giúp biểu diễn lũy thừa của một nhị thức dưới dạng tổng của các hạng tử.

Định lý khai triển nhị thức Niu tơn

(a+b)ⁿ=∑ⁿₖ₌₀Cᴷₙaⁿ⁻ᴷbᴷ= ∑ⁿₖ₌₀Cᴷₙaᴷbⁿ⁻ᴷ

Có (Cⁿₖ) là số tổ hợp chập k của n phần tử (0≤k≤n). Ta có định lý, số các tổ hợp chập k của n phần tử đã cho như sau:

(Cⁿₖ) =n!/[(n-k)!k!]=[(n-1)(n-2)(n-3)...(n-k+1)]/k!

Nhị thức newtonCông thức khai triển nhị thức Niu ton

Công thức nhị thức Niu tơn

Với ∀n∈N* với cặp số (a,b) ta có:

(a+b)ⁿ=∑ⁿₖ₌₀Cᴷₙaⁿ⁻ᴷbᴷ= C⁰ₙaⁿ + C¹ₙaⁿ⁻¹b + C²ₙaⁿ⁻²b²+...+ Cᵐₙbⁿ

(a-b)ⁿ=∑ⁿₖ₌₀(-1)ᴷCᴷₙaⁿ⁻ᴷbᴷ= C⁰ₙaⁿ - C¹ₙaⁿ⁻¹b + C²ₙaⁿ⁻²b²-...+ (-1)ⁿCᵐₙbⁿ

Hệ quả

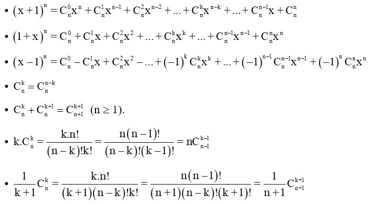
(1 + x)ⁿ= C⁰ₙ+ xC¹ₙ + x²C²ₙ+...+ xⁿCˣₙ

Một số công thức thường dùng trong các bài tập

Cᴷₙ= Cᴺ⁻ᴷₙ

Cᴷ⁻¹ₙ₋₁+ Cᴷₙ₋₁= Cᴷₙ

k. Cᴷₙ= n. Cᴷ⁻¹ₙ₋₁

Cᴷₙ. 1/ (k+1) = 1/(n+1). Cᴷ⁺¹ₙ₊₁

2ⁿ⁻¹=  C⁰ₙ + C²ₙ+ C⁴ₙ+...+C²ⁿᐟ²ₙ

2ⁿ⁻¹=  C¹ₙ + C³ₙ+ Cₙ+...+C⁽²ⁿ⁻¹ᐟ²⁾⁺¹ₙ

Công thức Newton mở rộng:

Cᴷₙ+2Cᴷ⁺¹ₙ + Cᴷ⁺²ₙ = Cᴷ⁺²ₙ₊₂

Cᴷₙ+3Cᴷ⁺¹ₙ +3 Cᴷ⁺²ₙ +Cᴷ⁺³ₙ= Cᴷ⁺³ₙ₊₃

Nhị thức newtonKhai triển nhị thức niu tơn

 Dấu hiệu sử dụng nhị thức Niu tơn

a. Chứng minh đẳng thức hoặc bất đẳng thức có ∑ⁿᵢ₌₁C¹ₙ

b. Biểu thức có ∑ⁿᵢ₌₁i(i-1)Cⁱₙ thì dùng đạo hàm

c. Biểu thức có ∑ⁿᵢ₌₁i(i+k)Cⁱₙ thì ta nhân hai vế với xᴷ rồi lấy đạo hàm

d. Biểu thức có ∑ⁿᵢ₌₁aᴷ. Cⁱₙ thì ta chọn giá trị x=a thích hợp

e. Biểu thức có ∑ⁿᵢ₌₁ . 1/(i-1). Cⁱₙ ta lấy tích phân xác định trên [a,b] thích hợp

Nhị thức newtonVí dụ về nhị thức Niu tơn

Chứng minh Định lý Nhị thức Niu ton

Định lý Nhị thức Niu tơn là một trong những công thức toán học nổi tiếng đã được Isaac Newton chứng minh. Và nó cũng có thể được chứng minh bằng nhiều phương pháp khác nhau. Trong đó, phương pháp quy nạp được dùng phổ biến nhất.

Bước 1: Chứng minh công thức đúng với các trường hợp cơ bản, n = 1. Theo đó, công thức được chứng minh là đơn giản: (a + b)^1 = a + b.

Bước 2: Giả sử công thức đúng với n = k, tức là (a + b)ᴷ khai triển theo đúng theo công thức nhị thức.

Bước 3: Chứng minh công thức này đúng cho n = k + 1, dựa theo giả thiết quy nạp. Cụ thể, khai triển (a + b)ᴷ⁺¹ và áp dụng công thức nhị thức đã giả định là đúng với mọi n = k để chứng minh.

Bước 4: Áp dụng nguyên lý quy nạp toán học, nếu như công thức đúng với n = 1 và nếu từ k suy ra k + 1, thì công thức sẽ đúng với mọi n.

Công thức nhị thức Niu tơn cho biết:

(a+b)ⁿ=∑ⁿₖ₌₀Cᴷₙaⁿ⁻ᴷbᴷ= ∑ⁿₖ₌₀Cᴷₙaᴷbⁿ⁻ᴷ

Trong đó C(n,k)là hệ số nhị thức, được tính bởi công thức n!/[(n-k)!k!]

Chứng minh này không chỉ là nền tảng toán học quan trọng. Mà nó còn mở ra nhiều ứng dụng trong lý thuyết xác suất, kinh tế cùng các ngành khoa học kỹ thuật khác.

 

Ứng dụng của Định lý Newton trong thực tế

Định lý Newton không đơn giản là một công cụ cơ bản trong toán học. Thực tế nó còn được ứng dụng rộng rãi trong các lĩnh vực khác nhau. Như vật lý, kỹ thuật, khoa học máy tính và kinh tế. Dưới đây sẽ là một số ứng dụng tiêu biểu của định lý này:

Khoa học máy tính: Trong lĩnh vực này, định lý Newton được dùng để phát triển các thuật toán tối ưu hóa, cũng như giải các bài toán tổ hợp phức tạp.

Vật lý và kỹ thuật: Các kỹ sư và nhà vật lý sẽ áp dụng định lý Newton để tính toán lực, chuyển động và các đại lượng vật lý khác có liên quan đến động lực học và cơ học.

Kinh tế: Trong kinh tế, định lý giúp giải quyết phân tích rủi ro và xác suất. Từ đó giúp dự đoán và quản lý các rủi ro tài chính.

Định lý Newton cũng được dùng để giải quyết các vấn đề trong lý thuyết xác suất và thống kê. Nó đóng vai trò quan trọng trong việc phát triển các mô hình toán học và phần thống kê hiện đại.

 

Ví dụ minh họa áp dụng Định lý Newton

Để minh họa cho Định lý Nhị thức Newton, dưới đây là một số ví dụ sau với biểu thức (1 + x)⁵.

Theo công thức Nhị thức Niu tơn, khai triển của (1 + x)⁵ là: 1 + 5x + 10x² + 10x³ + 5x⁴ + x⁵.

Trong trường hợp khi x = 0.1 thì giá trị của biểu thức này sẽ gần bằng 1.1. Qua đó minh họa cho sự chính xác của khai triển nhị thức trong các ước lượng gần đúng.

Ví dụ khác: Với biểu thức như (x + 4)⁵ + (x - 4)⁵. Sau khi áp dụng Định lý Newton, ta nhận thấy các số hạng bậc chẵn bị triệt tiêu, để lại kết quả cuối cùng là 2x⁵ + 320x³ + 2560x. Đây là một minh họa khác cho việc ứng dụng định lý này trong việc giải quyết các bài toán đại số phức tạp.

Công thức Nhị thức Newton được dùng để tìm các hệ số cụ thể trong khai triển của các đa thức phức tạp hơn. Chẳng hạn như tìm hệ số của x⁵ trong biểu thức:

(2x + 1)⁴ + (2x + 1)⁵ + (2x + 1)⁶ + (2x + 1)⁷. 

Kết quả cho thấy hệ số của x⁵ là 896. Qua đây cho thấy mức độ chi tiết mà định lý này có thể đạt được trong việc phân tích các biểu thức đại số.

Hy vọng với những chia sẻ trên đã làm bạn có cái tổng quan về nhị thức Niu tơn và cách áp dụng.

ĐĂNG KÝ TƯ VẤN

Với nhiều năm kinh nghiệm trong lĩnh vực bất động sản, Chúng tôi tự hào là một trong những chuyên gia tư vấn hàng đầu tại Việt Nam.

Nhà Đất TP Nha TrangNhà Đất Khu Đô Thị Nha TrangDự án Nha Trang
ĐĂNG KÝ NGAY
Hãy liên hệ với tôi ngay hôm nay để được tư vấn miễn phí và bắt đầu hành trình đầu tư bất động sản thành công.
hình ảnh HOẠT động CÔNG TY
Team Building
Team Building

Team Building
Team Building

Team Building
Team Building

Tham dự sự kiện
Tham dự sự kiện

Tổng kết 2024
Tổng kết 2024

Hoạt động công ty
Hoạt động công ty

Lễ Tổng Kết
Lễ Tổng Kết

Du lịch công ty
Du lịch công ty

Hoạt động công ty
Hoạt động công ty

Du lịch công ty
Du lịch công ty

© Copyright 2025 by Light.com.vn