Đường trung tuyến trong một tam giác là đoạn thẳng nối từ một đỉnh của tam giác đến trung điểm của cạnh đối diện. Trung điểm của một cạnh là điểm chia cạnh đó thành hai đoạn thẳng có độ dài bằng nhau.
Chẳng hạn, trong tam giác ABC, nếu M là trung điểm của cạnh BC, thì đường trung tuyến từ đỉnh A sẽ là đoạn thẳng AM.
1 tam giác có 3 đường trung tuyến
Bên cạnh nắm được khái niệm Đường trung tuyến là gì, thì tính chất của đường trung tuyến cũng vô cùng quan trọng:
Đoạn thẳng chia cạnh đối diện thành hai đoạn bằng nhau: Đường trung tuyến luôn nối một đỉnh của tam giác với trung điểm của cạnh đối diện.
Tính đối xứng: Nếu hai đường trung tuyến trong tam giác cắt nhau, chúng sẽ cắt nhau tại một điểm gọi là trọng tâm của tam giác. Và trọng tâm này chia mỗi đường trung tuyến thành tỷ lệ 2:1, trong đó phần gần với đỉnh của tam giác dài gấp 2 lần phần còn lại. Hay còn hiểu là Khoảng cách từ trọng tâm của tam giác đến đỉnh bằng 2/3 độ dài đường trung tuyến ứng với đỉnh đó.
Ngoài ra, đường trung tuyến ứng với các trường hợp đặc biệt sẽ có tính chất khác nhau:
Trong tam giác vuông: Đường trung tuyến ứng với cạnh huyền của tam giác sẽ có độ dài bằng 1/2 cạnh huyền.
Trong tam giác cân: Đường trung tuyến ứng với cạnh đáy sẽ vuông góc với cạnh đáy. Và chia tam giác ban đầu thành hai tam giác bằng nhau.
Trong tam giác đều: Ba đường trung tuyến của tam giác đều sẽ chia tam giác ban đầu ra thành sáu tam giác có diện tích bằng nhau. Ngoài ra, đường thẳng đi qua một đỉnh bất kì và đi qua trọng tâm của tam giác sẽ chia tam giác này thành hai tam giác có diện tích bằng nhau.
Ngoài làm rõ khái niệm Đường trung tuyến là gì, thì định lý về đường trung tuyến cũng giúp bạn nắm rõ hơn về đặc điểm của đường trung tuyến.
Định lí 1: Ba đường trung tuyến của 1 tam giác cùng đi qua một điểm. Điểm giao nhau của ba đường trung tuyến còn gọi là trọng tâm của tam giác đó.
Định lí 2: Đường trung tuyến của tam giác đều chia tam giác thành hai tam giác có diện tích bằng nhau. 3 đường trung tuyến tam giác cân chia tam giác thành sáu tam giác nhỏ với diện tích bằng nhau.
Định lí 3: Về vị trí trọng tâm: trọng tâm của một tam giác sẽ cách mỗi đỉnh một khoảng bằng 2/3 độ dài của đường trung tuyến đi qua đỉnh ấy.
Định lý về 3 đường trung tuyến
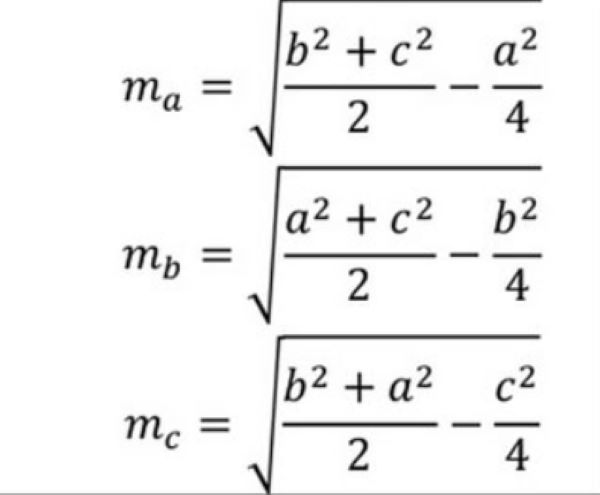
Độ dài đường trung tuyến của một tam giác được tính bởi độ dài các cạnh của tam giác, áp dụng định lý apollonius:

Cách tính độ dài đường trung tuyến
Trong đó:
a, b, c lần lượt là độ dài các cạnh trong tam giác
ma, mb, mc là độ dài đường trung tuyến của tam giác
Câu 1: Khẳng định nào dưới đây đây là sai?
A. Trong một tam giác chỉ có 3 đường trung tuyến.
B. 3 đường trung tuyến của tam giác sẽ cắt nhau tại một điểm.
C. Giao của ba đường trung tuyến của một tam giác còn gọi là trọng tâm của tam giác đó
D. Một tam giác có hai trọng tâm.
Câu 2: Điền số thích hợp vào chỗ chấm sau: “Trọng tâm của một tam giác nằm cách mỗi đỉnh một khoảng bằng … độ dài đường trung tuyến đi qua đỉnh ấy”.
A. 2/3
B. 3/2
C. 3
D. 2
Câu 3: Trong tam giác đều, các đường trung tuyến có tính chất gì?
A. Các đường trung tuyến không bằng nhau
B. Các đường trung tuyến chia tam giác thành các tam giác vuông đều
C. Các đường trung tuyến đều bằng nhau và cắt nhau tại trọng tâm
D. Các đường trung tuyến không cắt nhau
Câu 4: Trong tam giác vuông, đường trung tuyến từ đỉnh vuông có độ dài bằng bao nhiêu?
A. Bằng một nửa độ dài cạnh huyền
B. Bằng một nửa độ dài cạnh góc vuông
C. Bằng độ dài của cạnh vuông
D. Bằng độ dài cạnh đối diện của góc vuông
Câu 5: Trong tam giác ABC, M là trung điểm của BC, N là trung điểm của AC, P là trung điểm của AB. Đoạn thẳng MN có tính chất nào sau đây?
A. Đoạn thẳng MN vuông góc với cạnh AB
B. Đoạn thẳng MN bằng một nửa độ dài của cạnh AB
C. Đoạn thẳng MN là trung tuyến của tam giác ABC
D. Đoạn thẳng MN bằng một nửa độ dài của cạnh BC
Câu 6: Trong tam giác vuông ABC với góc vuông tại A, đường trung tuyến AD từ đỉnh A đến trung điểm BC. Tính độ dài của AD biết rằng AB = 6 cm và AC = 8 cm.
A. 5 cm
B. 7 cm
C. 10 cm
D. 12 cm
Đáp án:
1. D
2. A
3. C
4. A
5. B
6. A
Trên đây chúng tôi đã giới thiệu đến bạn đọc thông tin tổng quan về Đường trung tuyến là gì, các tính chất cơ bản của đường trung tuyến. Hy vọng bài viết hữu ích và giúp bạn áp dụng tốt khi làm bài tập.
Với nhiều năm kinh nghiệm trong lĩnh vực bất động sản, Chúng tôi tự hào là một trong những chuyên gia tư vấn hàng đầu tại Việt Nam.